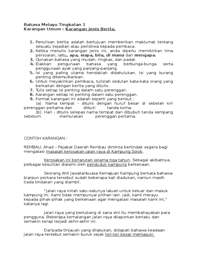
Karangan Jenis Berita Tentang Kemalangan Jalan Raya

Karangan Berita

Karangan Berita

Contoh Karangan

Contoh Karangan

Contoh Karangan Jenis Berita

Contoh Karangan Jenis Berita

Karangan Berita Tentang Kemalangan Jalan Raya

Karangan Berita Tentang Kemalangan Jalan Raya

Karangan Berita

Karangan Berita

Contoh Karangan

Contoh Karangan

Contoh Karangan

Contoh Soalan Karangan Kemalangan Jalan Raya Lamaran O

Contoh Soalan Karangan Kemalangan Jalan Raya Lamaran O

Kemalangan Jalan Raya

Kemalangan Jalan Raya

Karangan Kemalangan Jalan Raya

Karangan Kemalangan Jalan Raya

Nurhanizamdsaatsx040020awj01ttt

Nurhanizamdsaatsx040020awj01ttt

Karangan Berita

Karangan Berita

Pdf Kemalangan Jalan Raya Analisis Data Membabitkan Pengguna Motosikal

Pdf Kemalangan Jalan Raya Analisis Data Membabitkan Pengguna Motosikal

Contoh Karangan

Contoh Karangan

Cara Cara Mengatasi Kemalangan Jalan Raya

Cara Cara Mengatasi Kemalangan Jalan Raya

Contoh Karangan Laporan Kemalangan Jalan Raya Grills Zubehor

Contoh Karangan Laporan Kemalangan Jalan Raya Grills Zubehor

Pelajar Maut Motosikal Bertembung Kes Berita Harian

Pelajar Maut Motosikal Bertembung Kes Berita Harian

Karangan Jenis Berita

Karangan Jenis Berita

Contoh Karangan

Contoh Karangan

Contoh Karangan Tentang Berita Kemalangan Jalan 11 Peatix

Contoh Karangan Tentang Berita Kemalangan Jalan 11 Peatix

Jenis Jenis Perenggan Deduktif Induktif Dan Gabungan Izwan Rahim Academia Edu

Jenis Jenis Perenggan Deduktif Induktif Dan Gabungan Izwan Rahim Academia Edu

Karangan Contoh 20112011

Karangan Contoh 20112011

Contoh Soalan Karangan Jenis Berita Kuora Q

Contoh Soalan Karangan Jenis Berita Kuora Q

Karangan Berita

Karangan Berita

Contoh Karangan Tentang Berita Kemalangan Jalan 11 2020 Nylrahace S Ownd

Contoh Karangan Tentang Berita Kemalangan Jalan 11 2020 Nylrahace S Ownd

Https Encrypted Tbn0 Gstatic Com Images Q Tbn 3aand9gcqyylpvh5xg0bvr4ykzmqfpl5oavxvqdlhzo Ve32iw1bit7iwb Usqp Cau

Https Encrypted Tbn0 Gstatic Com Images Q Tbn 3aand9gcqyylpvh5xg0bvr4ykzmqfpl5oavxvqdlhzo Ve32iw1bit7iwb Usqp Cau

5 Fakta Mengejutkan Mengenai Kemalangan Jalan Raya Astro Awani

5 Fakta Mengejutkan Mengenai Kemalangan Jalan Raya Astro Awani

Contoh Karangan

Contoh Karangan

Kesimpulan Muhamamdezam

Kesimpulan Muhamamdezam

Salah Laku Jalan Raya Wikipedia Bahasa Melayu Ensiklopedia Bebas

Salah Laku Jalan Raya Wikipedia Bahasa Melayu Ensiklopedia Bebas

Pengalaman Menyaksikan Kemalangan Jalan Raya

Pengalaman Menyaksikan Kemalangan Jalan Raya

Karangan Jenis Berita

Karangan Jenis Berita

Contoh Karangan Tentang Berita Kemalangan Jalan 11 Enritalm Ecilanrin S Ownd

Contoh Karangan Tentang Berita Kemalangan Jalan 11 Enritalm Ecilanrin S Ownd

Contoh Karangan

Contoh Karangan

Doc Karangan Jenis Pendapat Atau Karangan Fakta Sktbdpg Sktbd Academia Edu

Doc Karangan Jenis Pendapat Atau Karangan Fakta Sktbdpg Sktbd Academia Edu

Contoh Karangan Tentang Berita Kemalangan Jalan 11 Gendbullbegoodp S Ownd

Contoh Karangan Tentang Berita Kemalangan Jalan 11 Gendbullbegoodp S Ownd

Contoh Karangan Laporan Kemalangan Jalan Raya Grills Zubehor

Contoh Karangan Laporan Kemalangan Jalan Raya Grills Zubehor

Buku Karangan Ramalan 2015 Ini Juga Azhar Salleh Page Facebook

Buku Karangan Ramalan 2015 Ini Juga Azhar Salleh Page Facebook

Diari Bahasa Melayu Pengalaman Menyaksikan Kemalangan Jalan Raya Dylan Leong

Diari Bahasa Melayu Pengalaman Menyaksikan Kemalangan Jalan Raya Dylan Leong

Pdf Kemalangan Jalan Raya Analisis Data Membabitkan Pengguna Motosikal Talib Jaafar And Ramlan Kasiran Academia Edu

Pdf Kemalangan Jalan Raya Analisis Data Membabitkan Pengguna Motosikal Talib Jaafar And Ramlan Kasiran Academia Edu

Contoh Karangan Pmr

Contoh Karangan Pmr

Source : pinterest.com